您当前的位置: 首页> 重要进展

研究人员发现非晶合金在均匀塑性变形下具有高度回春现象

信息来源:非平衡金属材料研究部        更新时间:2018/2/9


众所周知,非晶合金是一种亚稳态材料,在不同制备条件下具有不同的能量状态。由高能量向低能量状态转变的过程称为结构弛豫(relaxation);而由低能量向高能量状态转变的过程称为 “回春”(rejuvenation)。非晶合金在常规条件下会发生结构弛豫,伴随着结构和性能的改变。但如何最大程度地实现非晶合金回春,目前仍是一项具有挑战性的工作。研究非晶合金的回春现象,对于认识非晶的微观结构和原子排列,理解其变形行为和机制以及提高其性能都具有重要意义。

近日,金属所沈阳材料科学国家(联合)实验室非平衡金属材料研究部李毅研究员、潘杰博士、王寅霄博士与上海交通大学张荻教授、郭强教授以及英国剑桥大学Greer教授合作,通过室温均匀塑性变形的方法实现非晶合金高度回春,得到等效于冷速高达1010 K/s的非晶合金。

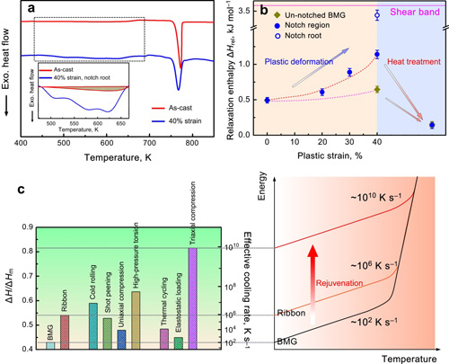
非晶合金回春的方法之一是通过对材料塑性变形实现的。但是以往的研究表明,由于非晶合金塑性变形的非均匀性,其应变高度局限于狭窄剪切带内,使其回春程度非常低。研究人员发现,通过引入三维应力状态能有效抑制剪切变形,可实现非晶合金在室温压缩条件下产生均匀变形。对变形后试样的硬度和热力学行为分析发现:非晶合金在大尺寸(毫米级)范围内发生剧烈的软化和回春,伴随着自由体积增加和结构的无序化。变形后非晶合金的最高软化可达36%,弛豫焓高达3.42 kJ/mol。其能量状态等同于冷却速度为1010 K/s的非晶合金,是目前文献报道中最高的。此外,通过此方法储存的变形能接近30%,是传统单轴压缩方法的3倍。

非晶合金变形过程中的结构变化可视为剪切导致自由体积产生,以及扩散导致自由体积湮灭两种机制竞争的过程。基于自由体积模型对三维应力状态的变形行为深入分析发现,非晶合金在三维应力下表现出显著的拉压不对称性。三维拉应力有利于自由体积的湮灭:在某一临界应力时自由体积产生速率低于湮灭速率从而发生加工硬化和致密化(Physical Review Letters 111 (2013) 135504)。而三维压应力抑制原子扩散,自由体积产生的速率总是大于湮灭速率。同时由于剪切应力低于剪切带产生的临界应力,从而有效避免应变局域化。非晶合金在变形过程中自由体积持续稳步增加,最终产生剧烈的回春和软化。本研究成果不仅丰富了非晶合金的室温变形理论,也为深入认识非晶合金的原子结构以及改变其性能奠定基础。

该研究得到了国家自然科学基金委项目等项目资助,于2月8日在Nature Communications上在线发表(Nature Communications, 9, 560 (2018))。

全文链接

图1:非晶合金在三维压应力下形变量为40%时的硬度分布

图2:非晶合金在均匀压缩变形后弛豫焓的变化规律(a,b),以及非晶合金各种回春方法的等效冷速(c)

Researcher
Developed by SYNL. Copyright © 沈阳材料科学国家研究中心. 辽ICP备05005387号-9