您当前的位置: 首页> 研究成果

【ACS Catal.】亚纳米尺度Pt金属团簇低温高效催化CO氧化研究取得新进展

信息来源:联合研究部        更新时间:2022/7/27


最近,沈阳材料科学国家研究中心刘洪阳研究员和博士研究生贾志民等人与北京大学马丁教授、香港科技大学王宁教授、中科院上海应用物理所姜政研究员以及中科院山西煤化所温晓东研究员等团队合作,通过调控Pt含量和制备方法在亚纳米尺度下实现对Pt物种的调控,设计出一种锚定在弯曲石墨烯载体(ND@G)上的全暴露Pt团簇(Ptn)催化剂,并表现出显着增强的低温CO氧化活性。近日,该项研究成果在线发表于ACS Catalysis期刊上(https://pubs.acs.org/doi/full/10.1021/acscatal.2c02769)。

多相催化领域中催化活性位点的研究对于设计和构建高效催化剂至关重要。催化活性位点由于其结构复杂性,尤其是尺寸降到原子尺度下包括纳米颗粒、团簇甚至单原子等,很难被鉴别。特别是,对于许多涉及到相邻配位原子参与反应物活化的催化反应来说,判断原子级分散的孤立金属原子是否是活性结构是非常必要的。在所有催化构型中,单原子催化剂(SACs)由于其最大化的原子利用率和单一的活性位点而被报道在许多反应中具有高催化活性和选择性。然而,对于某些催化反应,孤立的原子位点可能由于缺乏与相邻活性位点的配位而失去反应性。全暴露团簇(FECCs)不仅可以提供多个金属原子形成的集合位点,具有一定的金属性,同时保持充分的原子利用率。这有利于在集团位点上特定的反应物或中间体分子吸附和转化,得到更好的催化性能。因此,从单原子到纳米尺度范围内优化金属活性物种结构对设计开发特定反应中的高效催化剂具有重要的意义。

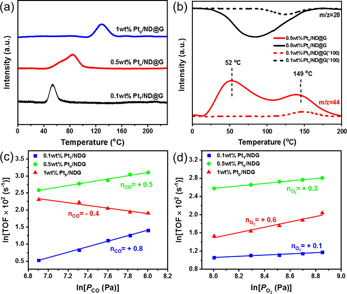
在本研究工作中,我们构建了一系列负载在纳米金刚石/石墨烯 (ND@G) 杂化载体上的Pt催化剂,分别为Pt单原子、完全暴露的Pt团簇和Pt纳米粒子(图1),进而来揭示低温CO氧化活性与亚纳米尺度下Pt-Pt配位数之间的特殊内在联系,并探索低温CO氧化活性位的本征结构。在CO氧化反应中,完全暴露的铂团簇与典型的铂纳米颗粒和单原子相比,具有更优异的催化活性,在30℃下的TOF达到3.5 s-1(图2)。结合程序控温技术、动力学测量和理论计算表明,相对比Pt纳米颗粒催化剂由于低温下对CO的强吸附,导致O2较难在Pt纳米颗粒表面同时与CO吸附活化,因此表现出较低的低温CO氧化活性;而完全暴露的Pt团簇有着较弱的CO吸附能力,可实现CO和O2在其表面同时解离吸附,进而促进低温CO氧化反应。此外,单原子催化剂由于其单一位点难以同时吸附活化CO和O2,表现出较低的低温CO氧化活性(图3)。我们研究发现构建特殊的全暴露团簇活性结构,同时实现原子利用率和反应性的最大化,这为未来高效催化剂的开发提供新的思路。

该工作得到了科技部重点研发计划催化科学专项、基金委重大研究计划集成项目与重点项目、基金委企业联合基金重点项目、基金委国际合作中港联合基金、辽宁省兴辽英才计划、中科院建制化科研项目、国研中心青年人才项目与中石化企业合作项目提供的支持,以及上海同步辐射光源、北京同步辐射光源的大力支持。

图1. (a)原始纳米金刚石和(b)ND@G的HRTEM图像,(c,d,e) 全暴露Pt团簇的HAADF-STEM图像,以及(f)其线强度分布图。

图2. (a)不同Pt/ND@G样品在30℃时的CO氧化性能图,和(b)表观活化能(Ea)。

图3. (a)不同Pt/ND@G催化剂的CO-TPD图,(b) CO-TPSR图,(c)CO和(d)O2分压对不同Pt/ND@G上TOF的影响。

图4. 不同Pt物种与CO氧化性能关联示意图。

Researcher
Developed by SYNL. Copyright © 沈阳材料科学国家研究中心. 辽ICP备05005387号-9